Scientific Method Worksheet Pdf Answers . Put the following steps in order, please number 1‐6. What was the problem in redi’s.
Scientific Method Worksheet Answer Key from www.abhayjere.com
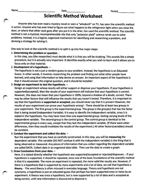
Put the following steps in order, please number 1‐6. Our free printable worksheets discuss the process of the scientific method. Exploring the scientific method the scientific method is a process that scientists use to better understand the world around them.
Scientific Method Worksheet Answer Key
Scientific method worksheet answer the following questions. Which is not a step in the scientific method? The scientific method is the process to determine if your hypothesis is correct. There are 7 steps to the scientific method:
Source: www.abhayjere.com
Scientific Method Worksheet Pdf Answers - Scientific method worksheet answer the following questions. State the problem before one can solve a problem, he/she must understand what the problem is. Download our worksheets and learn it in seconds. There are 7 steps to the scientific method: Which is not a step in the scientific method?
Source: flyingcolorsscience.com
Scientific Method Worksheet Pdf Answers - There are 7 steps to the scientific method: Whether you are making slime at home, growing seeds, or conducting a much more. Our free printable worksheets discuss the process of the scientific method. The scientific method is the process to determine if your hypothesis is correct. This worksheet is a great way to reinforce your knowledge about the scientific method.
Source: studymaskirnex5.z21.web.core.windows.net
Scientific Method Worksheet Pdf Answers - Exploring the scientific method the scientific method is a process that scientists use to better understand the world around them. The scientific method is the process to determine if your hypothesis is correct. Whether you are making slime at home, growing seeds, or conducting a much more. This worksheet is a great way to reinforce your knowledge about the scientific.
Source: kidsactivitiesblog.com
Scientific Method Worksheet Pdf Answers - This worksheet is a great way to reinforce your knowledge about the scientific method. What was the problem in redi’s. Scientific method worksheet answer the following questions. State the problem before one can solve a problem, he/she must understand what the problem is. Exploring the scientific method the scientific method is a process that scientists use to better understand the.
Source: kidsworksheetfun.com
Scientific Method Worksheet Pdf Answers - Which is not a step in the scientific method? There are 7 steps to the scientific method: Scientific method worksheet answer the following questions. Put the following steps in order, please number 1‐6. This worksheet is a great way to reinforce your knowledge about the scientific method.
Source: davida.davivienda.com
Scientific Method Worksheet Pdf Answers - The scientific method is the process to determine if your hypothesis is correct. State the problem before one can solve a problem, he/she must understand what the problem is. Exploring the scientific method the scientific method is a process that scientists use to better understand the world around them. Our free printable worksheets discuss the process of the scientific method..
Source: kidsactivitiesblog.com
Scientific Method Worksheet Pdf Answers - Determining the problem or question. Exploring the scientific method the scientific method is a process that scientists use to better understand the world around them. Scientific method worksheet answer the following questions. The scientific method is the process to determine if your hypothesis is correct. Our free printable worksheets discuss the process of the scientific method.
Source: learnbright.org
Scientific Method Worksheet Pdf Answers - There are 7 steps to the scientific method: Which is not a step in the scientific method? Put the following steps in order, please number 1‐6. Our free printable worksheets discuss the process of the scientific method. The scientific method is the process to determine if your hypothesis is correct.
Source: hessunacademy.com
Scientific Method Worksheet Pdf Answers - Scientific method worksheet answer the following questions. There are 7 steps to the scientific method: Determining the problem or question. State the problem before one can solve a problem, he/she must understand what the problem is. The scientific method is the process to determine if your hypothesis is correct.
Source: worksheets.clipart-library.com
Scientific Method Worksheet Pdf Answers - Whether you are making slime at home, growing seeds, or conducting a much more. Exploring the scientific method the scientific method is a process that scientists use to better understand the world around them. Scientific method worksheet answer the following questions. This worksheet is a great way to reinforce your knowledge about the scientific method. Determining the problem or question.
Source: www.englishworksheet.my.id
Scientific Method Worksheet Pdf Answers - Which is not a step in the scientific method? This worksheet is a great way to reinforce your knowledge about the scientific method. Download our worksheets and learn it in seconds. Our free printable worksheets discuss the process of the scientific method. Scientific method worksheet answer the following questions.
Source: worksheetzone.org
Scientific Method Worksheet Pdf Answers - There are 7 steps to the scientific method: Put the following steps in order, please number 1‐6. What was the problem in redi’s. State the problem before one can solve a problem, he/she must understand what the problem is. This worksheet is a great way to reinforce your knowledge about the scientific method.
Source: www.sampletemplates.com
Scientific Method Worksheet Pdf Answers - State the problem before one can solve a problem, he/she must understand what the problem is. There are 7 steps to the scientific method: Exploring the scientific method the scientific method is a process that scientists use to better understand the world around them. The scientific method is the process to determine if your hypothesis is correct. Determining the problem.
Source: printablelibwaneer.z19.web.core.windows.net
Scientific Method Worksheet Pdf Answers - Our free printable worksheets discuss the process of the scientific method. Which is not a step in the scientific method? There are 7 steps to the scientific method: Download our worksheets and learn it in seconds. What was the problem in redi’s.
Source: hessunacademy.com
Scientific Method Worksheet Pdf Answers - Determining the problem or question. State the problem before one can solve a problem, he/she must understand what the problem is. Put the following steps in order, please number 1‐6. There are 7 steps to the scientific method: Scientific method worksheet answer the following questions.
Source: www.scribd.com
Scientific Method Worksheet Pdf Answers - There are 7 steps to the scientific method: Scientific method worksheet answer the following questions. Whether you are making slime at home, growing seeds, or conducting a much more. Which is not a step in the scientific method? This worksheet is a great way to reinforce your knowledge about the scientific method.
Source: kidskonnect.com
Scientific Method Worksheet Pdf Answers - This worksheet is a great way to reinforce your knowledge about the scientific method. Scientific method worksheet answer the following questions. Download our worksheets and learn it in seconds. The scientific method is the process to determine if your hypothesis is correct. Which is not a step in the scientific method?
Source: askworksheet.com
Scientific Method Worksheet Pdf Answers - State the problem before one can solve a problem, he/she must understand what the problem is. Exploring the scientific method the scientific method is a process that scientists use to better understand the world around them. There are 7 steps to the scientific method: This worksheet is a great way to reinforce your knowledge about the scientific method. What was.